rationalization math worksheet

Rationalizing The Denominator Worksheet Class 9 - kidsworksheetfun. 17 Pictures about Rationalizing The Denominator Worksheet Class 9 - kidsworksheetfun : Rationalize Denominators Worksheets, Solving Rational Equation Word Problems by Priceless Math | TpT and also Rationalizing the Denominator ChiliMath - Worksheet Template Tips And.

Rationalizing The Denominator Worksheet Class 9 - Kidsworksheetfun

Rationalizing The Denominator Worksheet Class 9 - kidsworksheetfun kidsworksheetfun.com

denominator rationalisation rationalizing instantworksheet

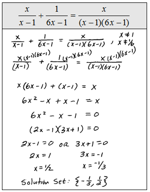
Math Plane - Solving Rational Equations

Math Plane - Solving Rational Equations mathplane.com

rational equations solving examples word problems expressions steps notes solutions math quiz solve practice strategies includes try then check

Rational Equations Worksheet For 9th - 11th Grade | Lesson Planet

Rational Equations Worksheet for 9th - 11th Grade | Lesson Planet www.lessonplanet.com

equations rational

Rational Equations Higher Ed Worksheet | Lesson Planet

Rational Equations Higher Ed Worksheet | Lesson Planet www.lessonplanet.com

rational equations worksheet solving worksheets multiplying problems pdf math fractional equation algebra lesson planet reviewer rating multi step answers lessonplanet

NEW HOW TO SOLVE A RATIONAL EQUATION WORD PROBLEM - Solve

NEW HOW TO SOLVE A RATIONAL EQUATION WORD PROBLEM - Solve solve-new1.blogspot.com

rational solving

Rationalize Denominators Worksheets

Rationalize Denominators Worksheets www.mathworksheetscenter.com

denominators rationalize worksheets homework

Rationalizing The Denominator Worksheet

Rationalizing the Denominator Worksheet briefencounters.ca

denominator rationalizing worksheet hurt marriage anyone doesn funnyjunk source

13 Best Images Of Distributive Worksheet With Answers - Distributive

13 Best Images of Distributive Worksheet With Answers - Distributive www.worksheeto.com

rational equations answers worksheet solving solve equation extraneous solutions check algebra answer restrictions key distributive step openalgebra important worksheeto via

Radicals And Rational Exponents Worksheet | Worksheet For Education

Radicals and Rational Exponents Worksheet | Worksheet for Education ventureitch.com

simplifying radicals exponents rational practice chessmuseum exponential

Solving Rational Equation Word Problems By Priceless Math | TpT

Solving Rational Equation Word Problems by Priceless Math | TpT www.teacherspayteachers.com

rational

Scientific Method Worksheet - Variables, Graphing, Valentine's Day Science

Scientific Method Worksheet - Variables, Graphing, Valentine's Day Science www.teacherspayteachers.com

science variables worksheet scientific method graphing valentine schilly created

Rationalizing The Denominator ChiliMath - Worksheet Template Tips And

Rationalizing the Denominator ChiliMath - Worksheet Template Tips And byveera.blogspot.com

denominator worksheet rationalize worksheets library curated reviewed

Adding And Subtracting Rational Expressions Worksheet Answer Key

Adding And Subtracting Rational Expressions Worksheet Answer Key algebraworksheets.co

rational worksheet algebra subtracting expressions adding answer key

Answers To Operations On Rational Functions Worksheet | Algebra II / AP

Answers to Operations on Rational Functions worksheet | Algebra II / AP teaching.paulhartzer.com

algebra honors worksheets rational operations answers ii worksheet functions calculus ap grade 9th math geometry equations puzzles navigation

Algebra 2 Rational Exponents Worksheet Answers | Algebra Worksheets

Algebra 2 Rational Exponents Worksheet Answers | Algebra Worksheets algebraworksheets.co

rational exponents

50 Simplifying Rational Exponents Worksheet | Chessmuseum Template Library

50 Simplifying Rational Exponents Worksheet | Chessmuseum Template Library chessmuseum.org

worksheet radical equations rational solving simplifying exponents answers expressions chessmuseum worksheets assignments alg semester homework algebraic exponent radicals kidsworksheetfun excel

Mathwords: Rationalizing Substitutions

Mathwords: Rationalizing Substitutions www.mathwords.com

rationalizing rational function substitution integration method integrand mathwords substitutions hence transforms note into name

Rational equations worksheet solving worksheets multiplying problems pdf math fractional equation algebra lesson planet reviewer rating multi step answers lessonplanet. Rational equations solving examples word problems expressions steps notes solutions math quiz solve practice strategies includes try then check. Radicals and rational exponents worksheet